加载中

科技2-细节设计

游憩板块科技细节设计

一、被动式设计

1、设计原理:

现代建筑室内热环境设计遵循稳态热平衡理论, 完全依赖采暖、通风、空调等主动式环境控制技术来维持和调节室内热环境在相对稳定、均匀的舒适状态, 室内微气候与室外自然气候完全隔离, 既耗能又不健康.由于人体需求的热舒适处于常温状态, 通常为18~26°C, 多数地区室外气候在大部分时间具备这种舒适条件, 因此, 如果能够采用合理的建筑设计方法如太阳能采暖、自然通风等被动式技术, 充分利用这部分时间的自然冷/热量, 即可大幅减少建筑设备能耗, 实现超低能耗甚至零能耗建筑。 

2、能耗数据

节能效果 :被动式设计可降低建筑能耗15%-30%,通过减少空调负荷和优化自然采光实现 。例如,夏季可降低室内温度3-5℃,冬季通过被动式设计减少供暖需求‌。

因建筑过程不考虑,所以本身并无能耗。

能源联动 :动态调整遮阳角度以匹配实时环境条件(如光照强度、温度) 

3、体积与结构设计

分为太阳能采暖和通风降温技术

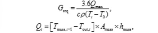
式中, Greq为带走蓄热体最大时刻蓄热量所需要的通风量;c为空气的比热;T i为排出空气温度;T0为进入空气温度。Q i为i时刻蓄热体蓄存的热量, 蓄热量的最大值用Qmax表示;Tmass, i-1为i-1时刻蓄热体表面温度。Tout, i为i时刻室外空气温度;Amass与hmass分别为蓄热体表面积和蓄热体表面换热系数.

遮阳板尺寸 :典型水平遮阳板宽度建议2.5米,可完全遮挡夏季直射阳光,同时不影响冬季采光。

4、实现方式

5、能源管理 

室外太阳能模块覆盖在建筑表面,吸收太阳辐射并直接吸收到“电能—光 / 电转换—光伏”电池生产中,或用于自身负载。

资料来源:

[1]刘安琦.智能建筑中的智能遮阳系统[J].房地产世界,2021,(22):1-3.DOI:CNKI:SUN:FDCS.0.2021-22-002.

[2]杨柳.建筑气候分析与设计策略研究[D].西安建筑科技大学,2003.

[3]杨柳,杨晶晶,宋冰,等.被动式超低能耗建筑设计基础与应用[J].科学通报,2015,60(18):1698-1710.DOI:CNKI:SUN:KXTB.0.2015-18-006.

 

二、智能调光玻璃

1、能耗参数 

工作电压:60V,功耗为6W/㎡(持续使用约7天消耗1度电) 。

动态节能效果:通过实时调节透光率,可降低建筑能耗25%-30%。

2、体积与尺寸 

厚度:0.38mm,单片最大尺寸为3500mm×1800mm 。

超薄无框设计,支持LED嵌入技术,适配建筑美学需求。

3、覆盖面积 

总空间20万立方米,占地20%即4万㎡(假设层高5米,实际面积需根据建筑结构调整)。

则建筑表面玻璃面积大概为12649㎡

若采用调光玻璃幕墙,需结合分项能耗(如照明、空调)优化整体节能效果 

 4、能耗预估 

按6W/㎡计算,12649㎡玻璃总功耗为75894W,年耗电量约66.48万度(24小时运行)。

结合动态节能技术,实际能耗可降至46.53万度/年(减少30%) 。

 5、实现方式 

技术原理 :通过电场控制液晶分子排列,实现透明/不透明状态切换(响应时间10ms-200ms)。

系统整合 :需与建筑能源管理系统联动,实时调节光照与温度 

[1]赵永潜,张亚萍,许广建,等.基于液晶电光效应的智能调光玻璃装置[J].实验技术与管理,2016,33(03):101-104.DOI:10.16791/j.cnki.sjg.2016.03.026.

 

三、全息投影、VR和环绕声效

1、能耗表现 

全息投影系统:通常依赖高功率激光光源和计算设备,能耗范围在500W至2000W之间,具体取决于投影尺寸和分辨率。

VR系统 :图形渲染 :立体渲染(左右眼双画面)使GPU功耗提升40-60%,90Hz刷新率下整机功耗可达15-20W 。

传感器处理 :头部追踪IMU模块增加约0.5-1W功耗 。

典型场景 Oculus Quest 2连续使用续航约2小时,功耗峰值约10W 。

环绕声效 3D音频处理 :HRTF实时计算功耗约0.3-0.8W(依赖算法复杂度) 。

多声道输出 7.1声道放大器功耗约5-10W,但耳机方案可降至0.1W 。

依据人流量最大值估计,能耗大致为3.07万kwh/y。

2、体积参数 

小型全息投影设备(如桌面级)体积可控制在30cm×30cm×20cm以内。

VR设备 :

头显 :主流设备体积约500-800cm³(含电池),需集成显示屏、透镜、传感器等 。

环绕声系统 

耳机方案 :仅需双耳驱动单元,体积可控制在50cm³内。

 3、实现方式

全息投影技术 

原理 :通过激光干涉记录物体光波信息,再利用衍射再现三维图像,需高精度光学元件和计算机实时渲染。

VR技术

渲染优化 LOD技术减少GPU负载,遮挡剔除降低30%渲染量 。

低延迟 Burst编译器多线程处理,确保20ms内响应 。

环绕声效技术

空间音频 Unity中通过spatialBlend=1f启用3D声场,结合HRTF模拟方向感 。

动态混响 :根据场景大小调整衰减时间

资料来源:

[1]国家标准化管理委员会.投影机能效限定值及能效等级:GB 32028-2025[S].北京: 中国标准出版社, 2025-06-30.

[2]全国文献影像技术标准化技术委员会质量分技术委员会.文献影像技术标准体系说明[Z].北京: 国家标准化管理委员会, 2025-07-01.

 

四、建筑材料

1. 自修复混凝土

能耗 :生产能耗与传统混凝土相近,但通过延长建筑寿命(减少维修和重建)可降低全生命周期能耗 

占地面积 :无需额外空间,直接替代传统混凝土使用 

实现方式 

内置芽孢杆菌孢子,遇水激活后生成碳酸钙填充裂缝 ;

或采用微胶囊修复剂,破裂后释放粘合剂修复损伤 

2. 透明木材

能耗 :生产能耗低于玻璃(无需高温加工),透光性减少照明能耗。

占地面积 :与传统木材或玻璃相当,可替代幕墙、窗户等。

实现方式 

去除木质素后注入透明聚合物(如环氧树脂),保留木材结构的同时透光率达90%。

3. 呼吸砖

能耗 :被动式设计,无需额外能源,依赖自然通风过滤空气。 

占地面积 :需集成于建筑外墙,占用墙体空间。 

实现方式 

多孔混凝土砌体搭配旋风分离涂层,吸附颗粒污染物后通过集尘槽清理。

4. 发光水泥(透光混凝土)

能耗 :夜间发光依赖外部光源(如日光或灯光),无主动能耗 

占地面积 :适用于墙体、护栏等,厚度与普通混凝土相当 

实现方式 

将光学纤维(直径0.5-2mm)按5-10mm间距嵌入特种混凝土基体,纤维传导外部光线 。

5. 菌丝绝缘材料

能耗 :低温生产(菌丝自然生长),能耗远低于传统保温材料 

占地面积 :需培养菌丝体,生产周期较长但可模块化定制 

实现方式 

利用蘑菇菌丝体与农业废料混合,在模具中生长成多孔隔热结构 

6. 透明太阳能电池

能耗 :生产需光伏材料加工,但发电可抵消部分能耗 

占地面积 :集成于建筑玻璃或幕墙,不额外占用空间 

实现方式 

采用钙钛矿或有机光伏材料,调整分子结构实现透光性与发电效率平衡 

材料

能耗特点

占地面积需求

核心技术

自修复混凝土

低全生命周期能耗

无额外需求

微生物/微胶囊修复‌

透明木材

生产能耗低,节能照明

替代玻璃/幕墙

木质素去除+聚合物填充

呼吸砖

零主动能耗

集成于外墙

多孔混凝土+旋风过滤

发光水泥

被动发光,无能耗

常规墙体/护栏

光学纤维嵌入‌

菌丝绝缘材料

低温生产,低碳

需培养空间

菌丝体生物生长‌

透明太阳能电池

生产能耗高,发电可补偿

替代传统玻璃

钙钛矿/有机光伏‌

 

五、阻尼设计

柔性栈桥连接浮动平台的阻尼设计分析

1. ‌阻尼类型与能耗特性‌

液体黏滞阻尼器 :通过流体剪切耗能,减震率可达30%-56%,尤其在共振周期(如4.26s-6.6s)下效果显著。

摩擦阻尼器 :需定期维护摩擦面,减震率约17.5%-43.5%,适用于非连续振动场景。

磁流变阻尼器(MR) :半主动控制,响应时间<50ms,可动态调整阻尼力,适用于斜拉索等柔性结构。

2. ‌柔性连接对阻尼性能的影响‌

摩擦摆支座 :周期调整(如4.5m→8.065m半径)可优化谐振效果,降低位移响应幅值达70%。

刚柔耦合动力学 :柔性机构的伪刚体模型显示,前两阶模态(26.21Hz)为关键耗能频段,需针对性设计阻尼参数。

3. ‌结构优化建议‌

复合阻尼系统 :结合液体黏滞阻尼器(主耗能)与摩擦摆支座(调谐周期),可提升整体减震率至50%以上。

流线化设计 :柔性板通过面积缩减与流线化重构,可降低压差阻力30%-40%,适用于浮动平台外板优化 。

4. ‌数据对比‌

阻尼类型

减震率范围

适用场景

液体黏滞阻尼器

30%-56%

共振周期振动控制

摩擦阻尼器

17.5%-43.5%

非连续冲击耗能

MR阻尼器

动态可调

高频振动抑制

 

注:具体参数需结合平台质量与刚度矩阵(如柔性副切向刚度0.2899×10³ N/m)进行仿真验证。



游憩+居住科技细节设计

一、海洋共生居所 —— “涌流·隐邸”

核心理念: 不是征服海洋,而是随其脉动而生活。 居住者成为海洋生态圈的一部分,从潮汐、光影和海洋生命中汲取宁静与力量。

1、居住空间:海洋之门

· 设计形式:

  · 半潜式结构: 生活空间一半在水上,拥有开阔的海平面视野;一半在水下,形成沉浸式的海洋观景窗。 

  · 智能调光玻璃: 水下部分的玻璃可在透明与磨砂间切换,既保护隐私,也避免对海洋生物造成光污染。 

  · 潮汐能源与海水淡化: 建筑自身利用潮汐差发电,并通过集成系统实现淡水自给,形成一个微循环。 

· 游憩结合点:

·起居室即水族馆: 水下客厅让日常休憩、会客都伴随着鱼群、珊瑚的“实时表演”。

·卧室观星与观海: 水上卧室采用可完全开启的穹顶,夜晚可观星,白天可迎海风。

  · 垂直海洋农场: 建筑侧面设有垂直种植区,既可种植蔬菜,也可养殖可食性藻类,居住者可参与管理,体验“海洋农耕”。

2、居住社区游憩项目:

(1)自然游憩项目

①潮间带探索公园:(功能:观光+教育)

  · 在住宅群落周边的浅滩礁石区,设立潮汐时钟和生态导览。居住者可在退潮时,在专家指导下安全探索海星、海胆、小螃蟹等生物,了解潮间带生态。

②海洋生物护航观览:(功能:观光+教育)

·取代传统的机动船,提供透明皮划艇、站立式桨板或帆船。居住者以零排放的方式,在特定航线内安静地观察海豚、鱼群,甚至与同游的友善海洋生物(如海龟)互动。

③珊瑚礁修复潜水点:(功能:观光+教育)

·与海洋保护机构合作,划定专属潜水区。居住者不仅可以潜水观光,更可以参与“领养一块珊瑚”的计划,亲手种植珊瑚苗,见证生命的复苏。

(2)人造游憩项目

①深海沉浸式博物馆 “蔚蓝知库”:(功能:观光+教育)

  · 一个位于中央平台的建筑。内部没有一件实体藏品,取而代之的是全息投影、VR和环绕声效

·体验内容: 穿越深海热液喷口的奇观、与虚拟蓝鲸同游、了解海洋塑料污染的现状与解决方案。博物馆本身就是一部动态的、可交互的海洋百科全书。

②海面冥想平台 “波动之境”:(功能:观光+疗愈)

  · 一系列通过柔性栈桥连接的浮动平台。平台采用阻尼设计,能轻微抵消海浪晃动。

·功能: 提供日出瑜伽、黄昏冥想、星空观测等活动。平台底部装有柔和的LED灯,夜晚会吸引趋光性浮游生物,形成天然的“蓝色眼泪”景观。

二、森林疗愈聚落 —— “森息·栖谷”

核心概念: 重回森林的怀抱,像一棵树那样呼吸。居住者通过五感与森林深度连接,从植物的生命力、大地的稳固和山谷的幽静中获得身心修复。

1、居住空间:林间小屋

· 设计形式:

·垂直森林建筑: 小屋结构模仿树木,使用木材和夯土。阳台和屋顶遍布本地植物,让建筑“生长”在森林中。

  · 被动式设计: 通过精确的朝向、遮阳和通风设计,实现冬暖夏凉,最小化能源消耗。

  · 建筑材料——自修复混凝土、透明木材、呼吸砖、发光水泥、菌丝绝缘材料、透明太阳能电池: 让室内外空间无缝衔接,声音、光线、气味自由流通,模糊自然与居所的边界。

· 游憩结合点:

·空中庭院: 每个小屋都拥有一个被绿植环绕的私密庭院,是进行森林浴、户外阅读和冥想的绝佳场所。

·私汤享受: 在保证隐私的前提下,于林间设置露天温泉,体验在星空和树影下沐浴的野趣。

·生态导水管: 收集的雨水通过建筑外的竹制管道滴落,既灌溉植物,其声音也成为自然的白噪音。

2、居住社区游憩项目:

(1)自然游憩项目

①五感疗愈步道:(功能:观光+疗愈)

·一条精心设计的林中步道,分为不同段落:

·触觉段: 设置不同材质的路径(苔藓、圆石、沙土),鼓励赤脚行走。

·嗅觉段: 种植芳香植物如桂花、迷迭香、樟树。

·听觉段: 引导聆听溪流、风铃鸟和风吹过竹林的声响。

·视觉段: 设置观景台和“镜面装置”,用艺术手法反射和聚焦森林之美。

②与树屋网络:(功能:观光+娱乐)

 · 通过高空索桥、悬空平台和一系列连接在巨树之间的树屋,形成一个空中漫游系统。居住者可以在树冠层行走、休憩,以松鼠的视角观察森林。

(2)人造游憩项目

①大地艺术创作区:(功能:疗愈+教育)

·划定特定区域,提供指导和自然材料(落叶、枯枝、石头、花瓣),鼓励居住者进行短暂的大地艺术创作。作品不永久保留,强调过程与回归自然的哲学。

②林间工作坊与露天剧场:(功能:娱乐+教育)

·工作坊: 学习木工、植物拓染、采集并酿造野生莓果酒、制作松针茶等。

·露天剧场: 利用自然的斜坡地形,打造一个圆形剧场。夜晚可放映自然纪录片、举办森林音乐会或话剧演出,声音与光影与森林环境融为一体。

生活+工作

配套空间与设施

(1)公共办公区

文本

AI 生成的内容可能不正确。

(2)会议区

会议区在现代办公空间中有举足轻重的地位,是公司商务洽谈以及内部员工沟通的媒介场所。小型办公室的会议区规模较小,可容纳人数一般在 10 人以内,主要包括会议空间和会议室两种形式(图 3-2)。会议空间主要指开放或半开放的会议场所,可根据场地条件自由布置,对于视听没有特殊要求,具有极大的灵活性。这类会议空间适合短暂的、非正式的交流,比如:临时会议、生日派对等。会议室各界面完全围合,形成封闭空间,一般会配置多媒体设备以适应正式的交流,包括:定期组会、机密性会议、视频会议以及汇报演示等。

 

(3)辅助区

图示

辅助区是除办公区和会议区之外的服务性空间,小型办公室的辅助区一般包括前厅、等候区、茶歇区、图书区、休息区、打印区、储藏 区 以 及 交 通 空 间 等 ( 图3-3)。前厅是带给客户第一印象的场所,也是最能体现企业文化特征的地方,一般会配备服务台,有接待、收发、考勤等功能。

等候区紧靠前厅,是访客被接待并等待的空间,也是产品展示和宣传企业形象的场所。为保证员工劳逸结合的工作方式,办公室内应尽可能设置休闲空间,在增进人际交往的同时,加强企业归属感。

茶歇区供应咖啡、茶水及点心,往往会设置简易厨房和垃圾回收设备;

图书区提供丰富的书籍、杂志,可配备检索台以增强便利性;休息区是员工临时放松与交流的场所,可与茶歇区、图书区结合设计。

打印区是现代办公室必不可少的一部分,包含打印扫描设备、装订的工作台以及垃圾回

收设施。储藏区分为办公用品存储、档案保存以及员工私人物品存放三类,可通过标签、不同区位或不同类型的储物柜加以区别。交通空间联系起办公室的各个功能区域,除通行外,人们在此偶遇交谈,因此也成为信息互换的重要场所。

面积分配

 

居家办公设计

  1. 群体A(夜班青年+夜班中年)
  2. 特殊配套设施
  3. 毫米波雷达非接触式生命体征监测

技术支持:中国科学院空天信息创新研究院传感技术国家重点实验室新型医疗电子团队在基于毫米波雷达的无感式医疗健康监测技术领域开展了深入研究,设计了调频连续波(FMCW)雷达系统,实现了生理体征监测、摔倒检测、人机交互等无感检测应用,在北京协和医院、解放军总医院等医院进行了临床示范,具体成果包括:基于毫米波雷达的高精度心率监测、基于单毫米波雷达的多人心率监测、基于单毫米波雷达的非接触式连续血压监测、基于毫米波雷达的跌倒检测以及基于毫米波雷达的人机交互实现。

高精度心率监测:           

非接触式连续血压监测:

跌倒检测:

人机交互实现:

  1. 嵌入式冷冻胶囊舱

技术支持:Activ Cryo V2 冷冻治疗机是将客户暴露在极冷的温度下几分钟。Activ Cryo V2是最新型的冷冻治疗室,采用液氮冷冻技术的全身冷冻治疗方法。

冷冻疗法是利用极低的温度,在短时间内达到-180℃。专家研究和临床研究表明,客户在接受冷冻治疗后,肌肉疼痛和酸痛的症状会得到缓解,这使得冷冻治疗比以往的冰敷或冰浴更有效。这使得冷冻疗法比以往的冰敷或冰浴更有效的替代康复方法。

冷冻疗法可以缓解肌肉疼痛、风湿痉挛、肿胀和关节僵硬。目前,许多水疗中心、医务室和冷冻健身室都已实施了冷冻疗法。

Activ Cryo V2低温箱模型结合了先进的低温箱市场的最新创新,将推动行业的发展。根据市场专家的最新报告,低温箱市场将在未来5年内达到654亿美元。冷冻疗法作为一种增强免疫系统的方法,有助于预防病毒和感冒,特别是在COVID-19大流行之后,变得非常流行。

几个不同颜色的手机

AI 生成的内容可能不正确。 黑色的照相机

AI 生成的内容可能不正确。

需求点:用于夜猫子们高强度工作后的极限恢复,能在短时间内将核心体温降低,显著消除疲劳。

2.群体B(早班青年+早班中年)

(1)基本配套设施

a.PDLC智能调光玻璃

技术支持:液晶调光膜又名调光电子窗帘膜,学名为:聚合物分散液晶膜,又称为PDLC(polymer dispersed liquid crystal),是在两块透明的薄膜材料之间将液晶以微米量级的小微滴分散在聚合物基体内,经特殊的工艺制作而成。在适当的电场作用下,液晶可以从不透明状态转变为透明状态。

其调光的原理为:在调光薄膜断电(OFF)状态下,PDLC膜中的高分子液晶材料呈无序排列状态,阻挡光线穿透薄膜,这时PDLC玻璃是乳白色的不透明(透光而不透明)状态。在PDLC调光薄膜通电(ON)状态下,电场作用下薄膜中间的液晶材料有序排列,可使光线能透过薄膜,这时玻璃是透明无色状态。

需求点:窗户采用聚合物分散液晶(PDLC)智能调光玻璃,一键切换雾化,彻底隔绝外部干扰,形成视觉和物理的“隐私盾”。

  1. 全息通讯技术

技术支持:清华大学精密仪器系精密测量技术与仪器国家重点实验室展示了一个集采集、全息图生成、传输、显示于一体的实时全息通信系统,为远程实时聊天提供强有力的支持。

论文链接:https://www.sciencedirect.com/science/article/pii/S0030401822005661?via%3Dihub

.

 

 

  1. 高精度光谱可调LED 和红外3D传感模组

需求点:通过微表情和姿态变化,AI实时推断用户的专注度与疲劳状态。当检测到分心时,自动将灯光调节为高色温(如5000K)的冷白光;进入深度思考时,则切换为低色温(3000K)的暖黄光,并略微调暗,营造“心流”光环境。

  1. 表面集成柔性电子墨水屏的办公桌

技术支持:柔性墨水屏技术:电子墨水屏具有低功耗、类纸显示效果、无需背光等优点,适合长时间信息展示。柔性墨水屏技术已逐渐成熟,可弯曲、折叠,能适应不同形状和曲面的集成需求。例如,诺鸣、博大光通等企业已推出墨水屏电子会议桌牌,证明了墨水屏在办公场景中的应用价值。

集成技术:随着物联网和智能办公技术的发展,办公桌可通过嵌入式设计将柔性墨水屏与桌面结合,实现信息显示、交互等功能。如模块化办公桌(如Steelcase Flex系列)已支持无线充电、环境监测等功能,为集成柔性墨水屏提供了技术基础。

需求点:桌面本身就是一块可书写、擦除的屏幕,可将草稿瞬间数字化并同步至云端。

 

 

 

 

能源与空间分配

用户群体        居家工作室面积 日均能耗

早班青年 (182人) 5 ㎡ 2.8 kWh

夜班青年 (10人) 5 ㎡ 3.2 kWh

早班中年 (420人) 7 ㎡ 4.5 kWh

夜班中年 (22人) 7 ㎡ 4.8 kWh


控制中心设计

结构:地上+地下

地下核心区:AI服务统一管理服务中心

功能:监控、协调、迭代全球所有注册的公共AI服务。

设备:1.AI会议舱: 数个隔离的球形空间,内部运行着“AI议员”。人类管理员通过神经接口(非侵入式)与AI进行深度、高速的思维交流,理解其决策逻辑。

2.AI生命体征墙:一面巨大的弧形屏,实时显示所有核心AI的健康状态、资源占用率、任务队列、伦理边界阈值等。任何异常都会以脉冲光的形式预警。

3.沙盒世界模拟器:一个全沉浸式虚拟现实环境,任何新的AI算法或重大政策在实施前,必须在此进行数万次模拟推演,评估其对世界系统的连锁影响。

人员配备:常设人员:约80人

角色与职责:AI伦理委员会(10人):世界顶尖的哲学家、科学家、法律专家,负责审定AI的核心伦理准则,裁决重大伦理困境。

AI运维工程师(30人):分三班倒,监控“AI生命体征墙”,处理AI议会舱的硬件和基础软件问题。作为AI的医生和护士。

策略与交互设计师(20人):负责设计人类与AI议会的交互界面和流程,确保沟通高效无误。他们是人机翻译官。

沙盒世界分析师(20人):设计模拟场景,并解读“沙盒宇宙模拟器”产生的海量结果,提炼出关键洞察和预测。

工作空间:AI伦理官工作站:半圆形工作站,配备情绪感知AI助手,能分析AI决策中可能隐含的偏见或冷逻辑风险,并向伦理委员发出警示。

AI运维工程师平台:操作台采用流体界面,工程师可以用手势“抓取”和“连接”数据流与AI模块,进行直观的维护和升级。

地表层:身份与信息管理局

功能:维护全球身份与资产链,审核并更新公开信息。

 

核心设备:链上信息集合:一个巨大的、悬浮的全息晶体,内部以动态光丝的形式,实时可视化全球区块链上的信息流动、身份验证请求和智能合约执行情况。

信息验证系统:强大的计算终端,允许个人或企业在不泄露隐私数据的前提下,向控制中心或第三方证明其身份、资质或资产所有权。

历史信息档案库:使用高密度DNA数据存储技术,将整个区块链的历史数据编码进合成DNA中,永久保存,体积仅为一个房间大小。

日程表

AI 生成的内容可能不正确。

人员配备:常设人员:约60人

角色与职责:区块链架构师(5人):维护和升级全球身份与资产链的底层协议。

信息审计员(30人):负责审查区块链上公开信息的异常变动,调查潜在欺诈或攻击行为。

争端仲裁官(15人):主持“争端仲裁厅”,基于链上证据快速裁决纠纷。他们是数字法官。

公民服务协调员(10人):管理和培训每年轮岗的1600名公民,分配他们在本部门的辅助岗位。

工作空间:信息审计员舱:每个工作舱都是一个隐私空间,确保审计员在审查公开信息时,其审查行为本身不会泄露个人隐私。系统会自动标记异常信息流。

争端仲裁厅:一个圆形厅,利用全息重现技术,基于链上数据,瞬间还原合同纠纷或身份争议的完整时间线,辅助人类仲裁员进行判决。

最高层:世界行政协调中心

功能:协调资源、应对全球性危机、制定宏观战略。

核心设备:全球态势感知模块:一个房间大小的交互桌面,实景显示地球的3D模型。管理员可以“点开”任何区域,查看其能源、交通、人口、环境等实时数据,并进行预测性推演(如:如果在此处修建大坝,50年后会如何?)。

危机应对“蜂群”指挥系统:一旦发生全球性危机(如 pandemic、气候灾难),系统会瞬间激活,将相关领域的专家、AI、资源供应商“纠缠”在一起,形成一个临时的、高效的虚拟指挥网络。

全息通讯系统:支持与全球任何角落进行真人大小的全息通讯,且延迟极低,实现“面对面”的全球治理。

人员配备:常设人员:约120人

角色与职责:全球态势官(30人):分三班倒,值守“全球态势感知桌”,实时监控地球各项指标,发现早期危机信号。

资源与规划师(40人):负责全球范围内的资源调度、基础设施建设和长期战略规划(如能源、粮食、水)。

危机应对小组(30人):由各领域专家组成,是危机应对“蜂群”系统的人类核心。平时从事研究工作,危机时立即集结。

外交与社群协调员(20人):负责通过“全息通讯矩阵”与外部社群(如果存在)或内部不同群体沟通,维系社会和谐。

工作空间:战略规划室:环形空间,墙壁是可书写的智能玻璃,支持多人在同一虚拟画布上进行构思。AI助手负责将草图的逻辑结构化,并即时补充数据支持。

外交官虚拟会客室:营造宁静、中立的虚拟环境,用于接待各国、各组织的代表,全息环境可根据会晤主题切换(如森林、茶室、星空下)。

 

全局配套与支持系统

1.中央指挥大厅(“神经中枢”):

位置:建筑核心,贯通地下一层与地表一层。

设施:360度环绕的巨型全息屏,显示着“全息数据场”提炼出的最核心信息。这里是日常运营的总控台,也是应对重大事件的战时指挥部。每个座位都集成了生物识别传感器,确保操作者身份绝对可靠。

2.个人独立冥想与深度思考舱(“静默节点”):

散布在各功能区旁。当员工需要进行不受干扰的深度思考或决策时,可进入此舱。

设施:隔音极致,内部有脑波诱导系统,通过声光频率帮助大脑进入高度专注的“心流”状态。

 

人员分配创新设计

公民服务期的运作模式(约1600人轮换)

这1600人是世界的农民、艺术家、教师、工人、父母。他们的参与至关重要,确保了控制中心的透明度和全民所有权。

岗位示例:信息审计助理:在专业审计员指导下,进行初步的信息筛查。

数据标注员:为AI训练提供人类智慧的标注。

模拟观察员:在沙盒世界模拟中,担任人类视角的观察者,记录AI行为。

公共接待员:向导和讲解员,向其他来参观的公民解释中心的工作。

环境维护员:负责“生态疗愈穹顶”等区域的维护。

价值:

监督:让每一位公民都有机会亲眼看到权力如何运行,形成最广泛的监督。

教育:这是最好的公民教育,让人们理解维持文明的复杂性。

凝聚力:通过共同服务,强化“我们是一个命运共同体”的认同感。

 

能源

总能耗:657,000 MWh/年

1. AI服务统一管理中心

年能耗:~350,000 MWh(约占总能耗53%)

能耗分解:

量子-AI议会舱:量子计算机是能耗巨头。预计每个议会舱需要1.5 MW,5个舱室全年无休。1.5 MW * 5 * 24h * 365d = ~65,700 MWh

AI生命体征墙与全息数据渲染:巨大的显示和实时数据处理。1.2 MW * 24h * 365d = ~10,500 MWh

沙盒世界模拟器:运行超大规模并行计算,是间歇性但能耗极高的负载。平均负载约25 MW。25 MW * 24h * 365d = ~219,000 MWh

冷却系统(为本中心):量子计算机和模拟器产生巨大热量,需要强大的液氦和液冷系统。~55,000 MWh

2. 身份与信息管理局

年能耗:~73,000 MWh(约占总能耗11%)

能耗分解:

全球区块链网络节点:维持整个2000人世界的链上数据共识、加密和存储,是持续的中高负载。3.5 MW * 24h * 365d = ~30,700 MWh

链上信息水晶(全息显示):0.3 MW * 24h * 365d = ~2,600 MWh

历史DNA数据档案库:读写和保存DNA数据需要精密的环境控制和能量。2.2 MW * 24h * 365d = ~19,300 MWh

信息验证系统:复杂的数学运算,随验证请求峰值变化。平均负载约2.3 MW。~20,400 MWh

3. 世界行政协调中心

年能耗:~87,600 MWh(约占总能耗13%)

能耗分解:

世界态势感知桌:实时渲染全球3D模型并处理海量物联网数据。2.5 MW * 24h * 365d = ~21,900 MWh

全息通讯系统:生成真人大小的全息影像并进行全球低延迟传输,能耗巨大。5 MW * 24h * 365d = ~43,800 MWh

危机应对“蜂群”指挥系统:平时待机,激活时计算和通信负载激增。年均负载约2.5 MW。~21,900 MWh

4. 中央指挥大厅

年能耗:~35,000 MWh(约占总能耗5%)

能耗分解:

360度巨型全息屏:1.5 MW * 24h * 365d = ~13,100 MWh

所有工作站与控制台:1.2 MW * 24h * 365d = ~10,500 MWh

生命支持与环控系统(为本大厅):~11,400 MWh

5. 支持与保障系统(全局)

年能耗:~111,400 MWh(约占总能耗17%)

能耗分解:

基础建筑环控(HVAC):为整个巨型建筑调节温度、湿度。4.5 MW * 24h * 365d = ~39,400 MWh

基础照明与内部交通:1.5 MW * 24h * 365d = ~13,100 MWh

生命支持系统(水循环、空气净化):3 MW * 24h * 365d = ~26,300 MWh

安全与防御系统(传感器、AI防御):1.2 MW * 24h * 365d = ~10,500 MWh

备用系统与能量损耗:包括能源分配中的损耗和为未预见负载预留的缓冲。~22,100 MWh

 

2025-10-15 20:56:32

0 条评论 (登录以进行评论)